Tabel Suku Bunga Pdf

Tabel Suku Bunga Pdf

Tabel Bunga Pemajemukan Diskrit

Tabel Bunga Pemajemukan Diskrit

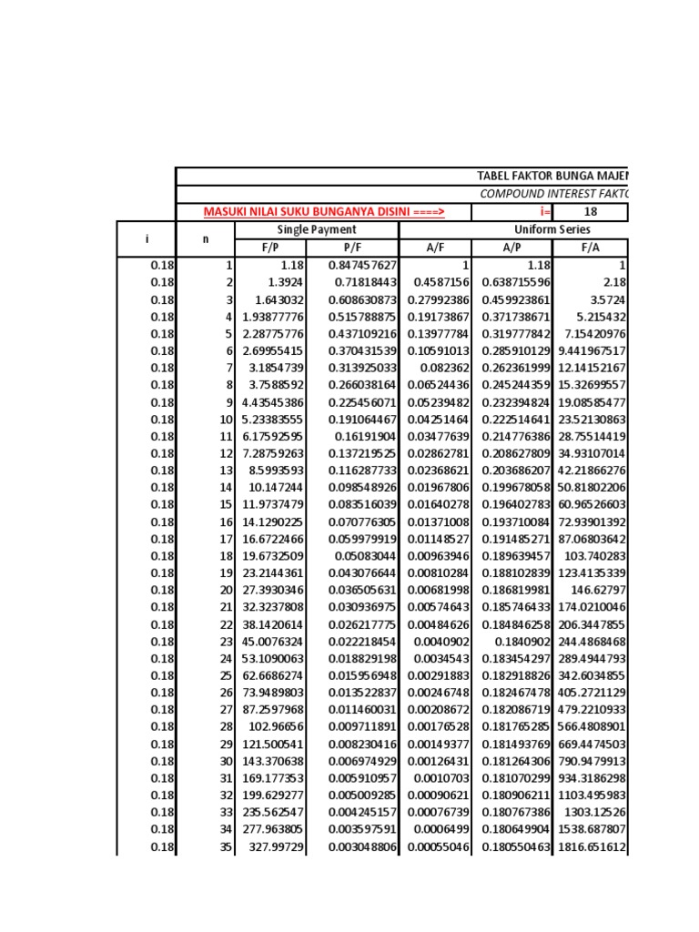
110975255 Tabel Faktor Bunga Majemuk Pdf

110975255 Tabel Faktor Bunga Majemuk Pdf

Tabel Bunga Majemuk Pdf Document

Tabel Bunga Majemuk Pdf Document

Tabel Suku Bunga Melex Indonesia

Tabel Suku Bunga Melex Indonesia

Tabel Bunga

Tabel Bunga

Tabel Bunga

Download TABEL SUKU BUNGApdf Comments.

Tabel suku bunga pdf. Suku Bunga SBI dan Inflasi terhadap Indeks Harga Saham S tudi Komparatif pada Indeks LQ45 dan Jakarta Islamic Index Tahun 2012-2017 ini dengan baik. Tingkat suku bunga konstan tingkat suku bunga yang mengikuti model Vasicek dan CIR untuk mengantisipasi fluktuasi tingkat suku bunga. Oleh karena itu melalui kesempatan ini dengan penuh.

Rp 50 Juta Rp 50 Juta -. ANALISIS PENGARUH TRANSMISI SUKU BUNGA DAN BAGI HASIL TERHADAP TOTAL PEMBIAYAAN PERBANKAN SYARIAH DI INDONESIA SKRIPSI Diajukan sebagai salah satu syarat untuk menyelesaikan Program Sarjana S1 pada Program Sarjana fakultas Ekonomika dan Bisnis Universitas Diponegoro Disusun Oleh ILHAM RUSDIANSYAH 12020112130063 FAKULTAS. Rincian Pembayaran melalui LeasingCSF dengan Suku Bunga Efektif pada Interpolasi ke-2 i 00179903.

Rincian Pembayaran melalui LeasingCSF dengan Suku Bunga Efektif pada Interpolasi ke-1 i 00180598. Pada umumnya satuan dari suku bunga nominal dan efektif adalah. 2 x 6 12 Suku bunga efektifsetahun.

TABEL PVIF Present Value Interest Factor c. Rp 5 Juta Rp 5 Juta -. Tabel bunga ekonomi teknik.

Jika perlu pergunakan cara interpolasi untuk menghitung faktor yang tidak terdapat suku bunganya dalam tabel jika idalam pecahan desimal. Rp 10 Juta Rp 10 Juta -. Suku bunga dapat berubah sewaktu-waktu dengan pemberitahuan terlebih dahulu 3.

TABEL PVIFA Present Value Interest Factor Anuity NB. IDR 10 Miliar IDR 10 Miliar Penempatan Dana Just One Wealth. I30 SUKU BUNGA TABUNGAN RUPIAH MENURUT KELOMPOK BANK Persen Per Tahun-Sejak periode data Agustus 2017 terdapat perubahan cakupan Bank Swasta Nasional dan Pemerintah akibat adanya perubahan status pada salah satu bank KELOMPOK BANK 2015 Statistik Ekonomi dan Keuangan Indonesia Indonesian Economic and Financial Statistics 100 Bank Indonesia.

Tabel Bunga 0 25 2 5 Pdf Pdf Document

Tabel Bunga 0 25 2 5 Pdf Pdf Document

Tabel Bunga Pemajemukan Diskrit

Tabel Bunga Pemajemukan Diskrit

Tabel Bunga Pemajemukan Diskrit

Tabel Bunga Pemajemukan Diskrit

Tabel Bunga Pemajemukan Diskrit

Tabel Bunga Pemajemukan Diskrit

Tabel Bunga Pemajemukan Diskrit

Tabel Bunga Pemajemukan Diskrit

Tabel Bunga Pemajemukan Diskrit

Tabel Bunga Pemajemukan Diskrit

Tabel Suku Bunga Pdf

Tabel Suku Bunga Pdf

Tabel Bunga Ekonomi Teknik Sedang

Tabel Bunga Ekonomi Teknik Sedang

Tabel Bunga 0 25 2 5 Pdf Pdf Document

Tabel Bunga 0 25 2 5 Pdf Pdf Document

Tabel Bunga Majemuk Lengkap Dengan

Tabel Bunga Majemuk Lengkap Dengan

Tabel Bunga Pemajemukan Diskrit Pdf Download Mahasiswa Kuliah Nangkring

Tabel Bunga Pemajemukan Diskrit Pdf Download Mahasiswa Kuliah Nangkring

138353759 Tabel Bunga Untuk Ekonomi Teknik

138353759 Tabel Bunga Untuk Ekonomi Teknik

Tabel Bunga Ekonomi Teknik Sedang

Tabel Bunga Ekonomi Teknik Sedang

Pdf Analisis Penetapan Tingkat Suku Bunga Kredit Umum Dan Kredit Program Pada Pt Bank Bri Persero Cabang Barru

Pdf Analisis Penetapan Tingkat Suku Bunga Kredit Umum Dan Kredit Program Pada Pt Bank Bri Persero Cabang Barru

Doc Contoh Soal Bunga Tunggal Ghozin Ilham Academia Edu

Doc Contoh Soal Bunga Tunggal Ghozin Ilham Academia Edu

Tabel Bunga Anuitas

Tabel Bunga Anuitas

Bunga Majemuk Dan Contohnya Konsep Matematika Koma

Bunga Majemuk Dan Contohnya Konsep Matematika Koma

Bunga Majemuk Pdf

Bunga Majemuk Pdf

Https Encrypted Tbn0 Gstatic Com Images Q Tbn And9gcsgr 3mp0mistppi9hrscnpflytfjcitriyjhjhzwncfuhztacd Usqp Cau

Https Encrypted Tbn0 Gstatic Com Images Q Tbn And9gcsgr 3mp0mistppi9hrscnpflytfjcitriyjhjhzwncfuhztacd Usqp Cau

Pdf Risiko Tingkat Suku Bunga Di Pasar Keuangan Turki Pada Periode Waktu Yang Berbeda

Pdf Risiko Tingkat Suku Bunga Di Pasar Keuangan Turki Pada Periode Waktu Yang Berbeda

Pdf Pengaruh Perubahan Tingkat Suku Bunga Bank Indonesia Dan Perubahan Nilai Tukar Rupiah Pada Us Dollar Terhadap Harga Saham Saham Lq45 Di Bursa Efek Indonesia

Pdf Pengaruh Perubahan Tingkat Suku Bunga Bank Indonesia Dan Perubahan Nilai Tukar Rupiah Pada Us Dollar Terhadap Harga Saham Saham Lq45 Di Bursa Efek Indonesia

Pdf Pengaruh Tingkat Suku Bunga Kredit Dan Loan Deposit Ratio Terhadap Profitabilitas

Pdf Pengaruh Tingkat Suku Bunga Kredit Dan Loan Deposit Ratio Terhadap Profitabilitas

Pdf Peramalan Suku Bunga Acuan Bi Rate Menggunakan Metode Fuzzy Time Series Dengan Percentage Change Sebagai Universe Of Discourse

Pdf Peramalan Suku Bunga Acuan Bi Rate Menggunakan Metode Fuzzy Time Series Dengan Percentage Change Sebagai Universe Of Discourse

Source : pinterest.com